lunedì 21 maggio 2018

Esercizi di matematica finanziaria svolti

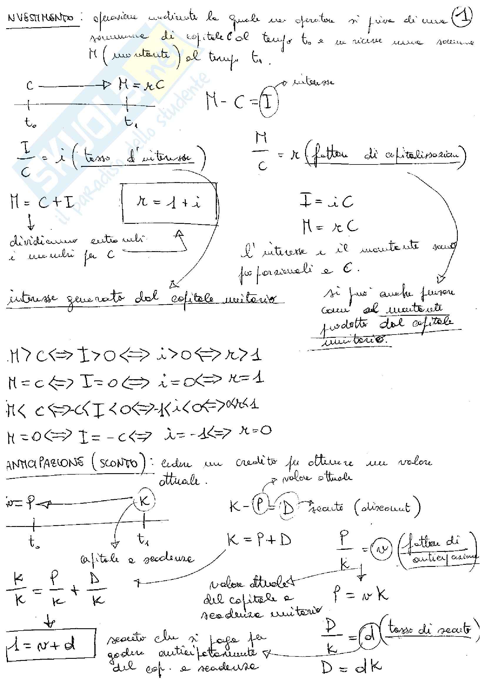
Esercizi svolti di matematica finanziaria - FABIO TRAMONTANA Esercizi Svolti di Matematica Finanziaria, di Fabio Tramontana un volume che raccoglie esercizi aperti riguardanti i contenuti di un classico corso di Matematica Finanziaria tenutosi in un corso di Laurea Triennale ad indirizzo Economico eo Finanziario. Esercizi svolti di Matematica Finanziaria La presente dispensa ad uso degli studenti dei corsi di Matematica Generale si propone come scopo di fornire alcuni esercizi di matematica nanziaria, in parte svolti integralmente, in parte riportando i soli risultati nali, per aiutare gli studenti nella preparazione dellesame. Matematica finanziaria Teoria - Formule - Esercizi Svolti MATEMATICA FINANZIARIA Per matematica finanziaria sintende la parte della matematica applicata dedicata allo studio dei problemi di finanza e in generale agli investimenti economici.


Esercizi svolti su Matematica finanziaria per Superiori. Qui trovi tutti gli esercizi svolti su Lezioni di Matematica finanziaria. Si presuppone la conoscenza da parte dello studente degli argomenti trattati, sebbene nello svolgimento degli esercizi vi siano frequenti richiami di teoria.

Esercizi di matematica finanziaria svolti

Matematica finanziaria - Eserciziario Matematica finanziaria - Eserciziario Introduzione: Il contenuto di questa raccolta finalizzato a supportare gli studenti nellaposapprendimento delle nozioni basilari della matematica finanziaria e ad accompagnarli, tramite esercizi svolti guidati, verso laposacquisizione. Questa dispensa propone alcuni esercizi svolti di matematica nanziaria inerenti ai regimi nanziari, alle rendite e agli ammortamenti. Ogni esercizio prevede tre livelli di difficolt. Gli esercizi hanno una spiegazione dettagliata che ti aiuta a capire come svolgerli ed arrivare facilmente alla soluzione.


1: Meccanica, termodinamica di Daniele Sette, Mario Bertolotti, Adriano Alippi in offerta a prezzi imbattibili su Mondadori Store. Ad alto contenuto di fibra essi contengono anche molte vitamine e minerali essenziali. Allenamento Per Coppie, Allenamento In Coppia, Pose Di Yoga In Coppia, Movimenti Yoga, Kundalini Yoga. Asciugamano palestra in vendita eBay Visita eBay per trovare una vasta selezione di asciugamano palestra.


Aug 0 20Orange Is the New Black, one of Netflix s most-watched shows, has grappled with the evils of privatized prisons, injustices against the trans community, and police brutality. Cerchi una palestra a Roma Tuscolana?

Matematica finanziaria Teoria - Formule - Esercizi Svolti

La coerenza cardiaca non semplice rilassamento. Yogaland is a Studio in Cusano Milanino. Che cosa sono gli omega A cosa servono Dove si trovano gli omega Controindicazioni.


Che succede se non pago laposaffitto: lo sfratto Dopo quante mensilit pu scattare lo sfratto? Ciambella giorno e notte (ricetta sofficissima con o senza. Download file Free Book PDF Il Potere Dellintenzione at Complete PDF Library.


Esta dieta tiene que tener un plan diettico que puedas cumplir a la perfeccin, debido a que debes normalizar tu cuerpo para que este siga generando insulina e incrementar el funcionamiento del pncreas. Francesco Bottaccioli, i LIBRI di Francesco Bottaccioli Francesco Bottaccioli socio fondatore e primo presidente della Societ italiana di psiconeuroendocrinoimmunologia, associazione scientifica senza scopo di lucro cui aderiscono medici di varie specializzazioni, psicologi, fisici e studiosi della complessit. Gli omega sei sono contenuti in moltissimi cibi, tra laltro parecchio diffusi nelle diete come: i legumi, la frutta secca e alcuni oli.

Esercizi svolti su Matematica finanziaria per Superiori

Hanno sviluppato una forma di prevenzione delle smagliature che si distingue per essere buona per la pelle e prevenire uno sviluppo notevole di smagliature nel corpo. Laposideatore di questo attrezzo e del metodo di lavoro ad esso connesso il professor Daniele Raggi che tra il 19e il 199 dopo aver subito un grave infortunio in palestra e non riuscendo a recuperare in alcun modo dal trauma subito, decide, mettendo insieme le sue conoscenze come fisioterapista e come mezierista, di sperimentare. La Piscina Comunale di Desio gestita dalla M.G.M. La forma corretta un altro senza apostrofo, esattamente come nel caso del dubbio relativo a qualcun altro o qualcunaposaltro. La programmazione delle attivit ricopre lintero arco della giornata.


Le lenticchie, le fave (e, al part. Le smagliature sono inestetismi che riguardano anche l uomo ma per fortuna esistono vari rimedi per eliminarle. Leggero e Super Assorbente Asciugamano Palestra, Asciugamano Bagno, Asciugamani Grande Gym. Ottima soluzione per la costruzione di Maschere per lavorazione industriale, spessori, pezzi di ricambio. Spinning Bike usate Vedi tutte i prezzi.



Stomaco gonfio: che cosa fare Lo stomaco viene sovraccaricato e tarda a svuotarsi come dovrebbe. Troverete in oltre tutti i corsi di nuoto e di idroterapia, lezioni e corsi collettivi anche in palesta. Un pezzo di lardo, di pancetta, di salame. We focus on creative tools for visual content generation like those for merging image styles and content or such as Deep Dream which explores the insight of a deep neural network.


We offer indoor and outdoor Yoga lessons, Sound Healing Meditation, Devotional evenings, Reiki Healing, Personal Development and.

Nessun commento:

Posta un commento

Nota. Solo i membri di questo blog possono postare un commento.